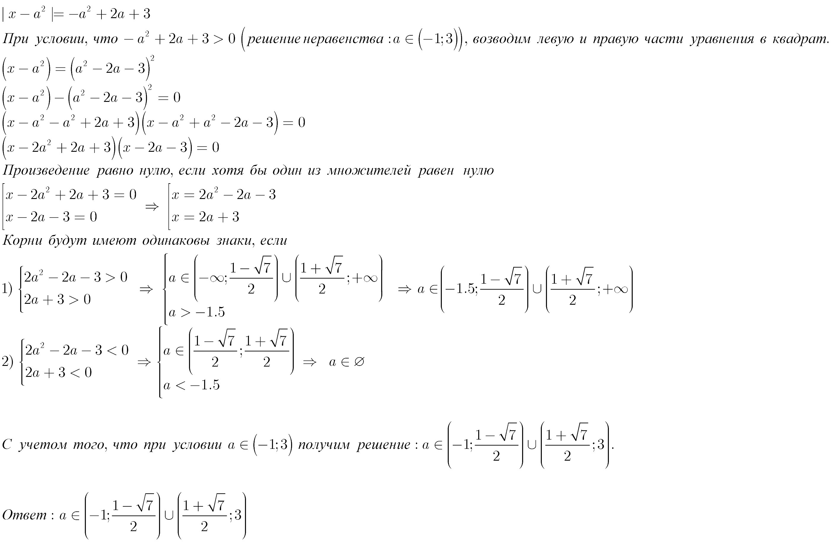
При каких значениях параметра a корни уравнения: | х-a²|= -a²+2a+3 имеют одинаковые знаки?СРОЧНО
Ответы
Ответ дал:
0
Решение смотрите на фотке.............
Приложения:

Вас заинтересует
2 года назад
2 года назад
3 года назад
3 года назад
9 лет назад
9 лет назад
9 лет назад
9 лет назад