• Предмет: Математика
  • Автор: anna96163
  • Вопрос задан 8 лет назад

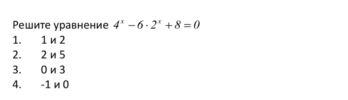
Помогите пожалуйста решить

Приложения:

Ответы

Ответ дал: Banabanana
0

 4^x-6 cdot 2^x+8=0\ 2^{2x}-6 cdot 2^x+8=0

Замена:

 2^x=t

 t^2-6t+8=0\ D=(-6)^2-4cdot8 = 36-32 = 4 = 2^2\ t_1=frac{6-2}{2}=2 \  t_2=frac{6+2}{2}=4

Обратная замена:

2ˣ = 2     или     2ˣ = 4

2ˣ = 2¹               2ˣ = 2²

х = 1                   х = 2


Ответ: 1 и 2

Вас заинтересует