• Предмет: Математика
  • Автор: nastyasherlok
  • Вопрос задан 8 лет назад

Помогите решить систему, пожалуйста

Приложения:

Ответы

Ответ дал: snow99
0

 frac{1}{y}  -  frac{1}{x}  = 3 \ 0.8 =  frac{1}{x + y}  \  \  frac{ x- y}{xy}  = 3 \ x + y =  frac{1}{0.8}  \  \ x - y = 3xy \ x + y = 1.25 \  \ x = 1.25 - y \ 1.25 - y - y = 3y(1.25 - y) \  \ x = 1.25 - y \ 1.25 - 2y = 3.75y - 3 {y}^{2}   \ \ x = 1.25 - y \ 3 {y}^{2}  - 5.75y + 1.25 = 0 \  \ 12 {y}^{2}  - 23y +  5 = 0 \ d =  {b}^{2}  - 4ac = 529 - 4 times 12 times 5 = 289 \ y1 =  frac{23 + 17}{2 times 12}  =  frac{40}{24}  =  frac{5}{3}  \ y2 =  frac{23 - 17}{2 times 12}  =  frac{6}{24}  =  frac{1}{4}  \ x1 = 1.25 -  frac{5}{3}  =  frac{5}{4}  -  frac{5}{3}  =  frac{15}{12}  -  frac{20}{12}  =  -  frac{5}{12}  \ x2 = 1.25 -  frac{1}{4}  = 1
Ответ: (-5/12; 5/3) и (1; 1/4)
Ответ дал: Пеппер
0

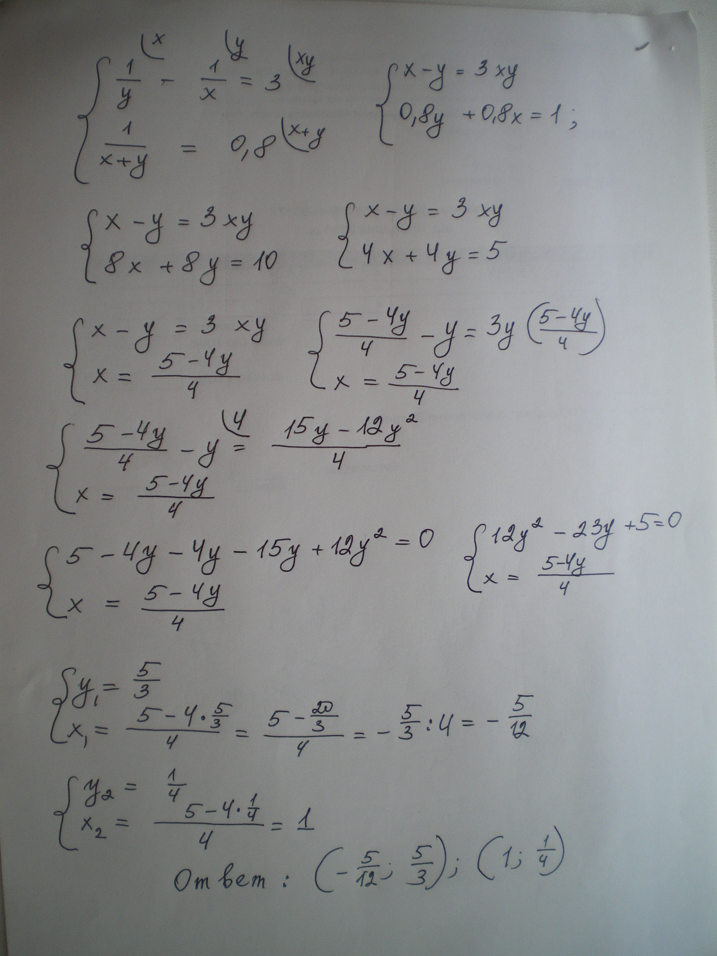
решаем способом подстановки

Приложения:
Вас заинтересует