Надо решить уравнение. Если уравнение имеет более одного корня в ответе надо записать больший из корней.
Приложения:
Ответы
Ответ дал:
0
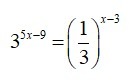
3^(5х-9) = (1/3)^(х-3)
3^(5х-9) = (3^(-1))^(х-3)
3^(5х-9) = 3^(3-х)
Значит, 5х-9 = 3-х
5х+х = 3+9
6х = 12
х = 2
Ответ: 2
3^(5х-9) = (3^(-1))^(х-3)
3^(5х-9) = 3^(3-х)
Значит, 5х-9 = 3-х
5х+х = 3+9
6х = 12
х = 2
Ответ: 2
Вас заинтересует
2 года назад
3 года назад
3 года назад
9 лет назад
9 лет назад
10 лет назад
10 лет назад