• Предмет: Алгебра
  • Автор: Аэлита123456789
  • Вопрос задан 8 лет назад

Как упростить выражение?! Помогите!

Приложения:

Ответы

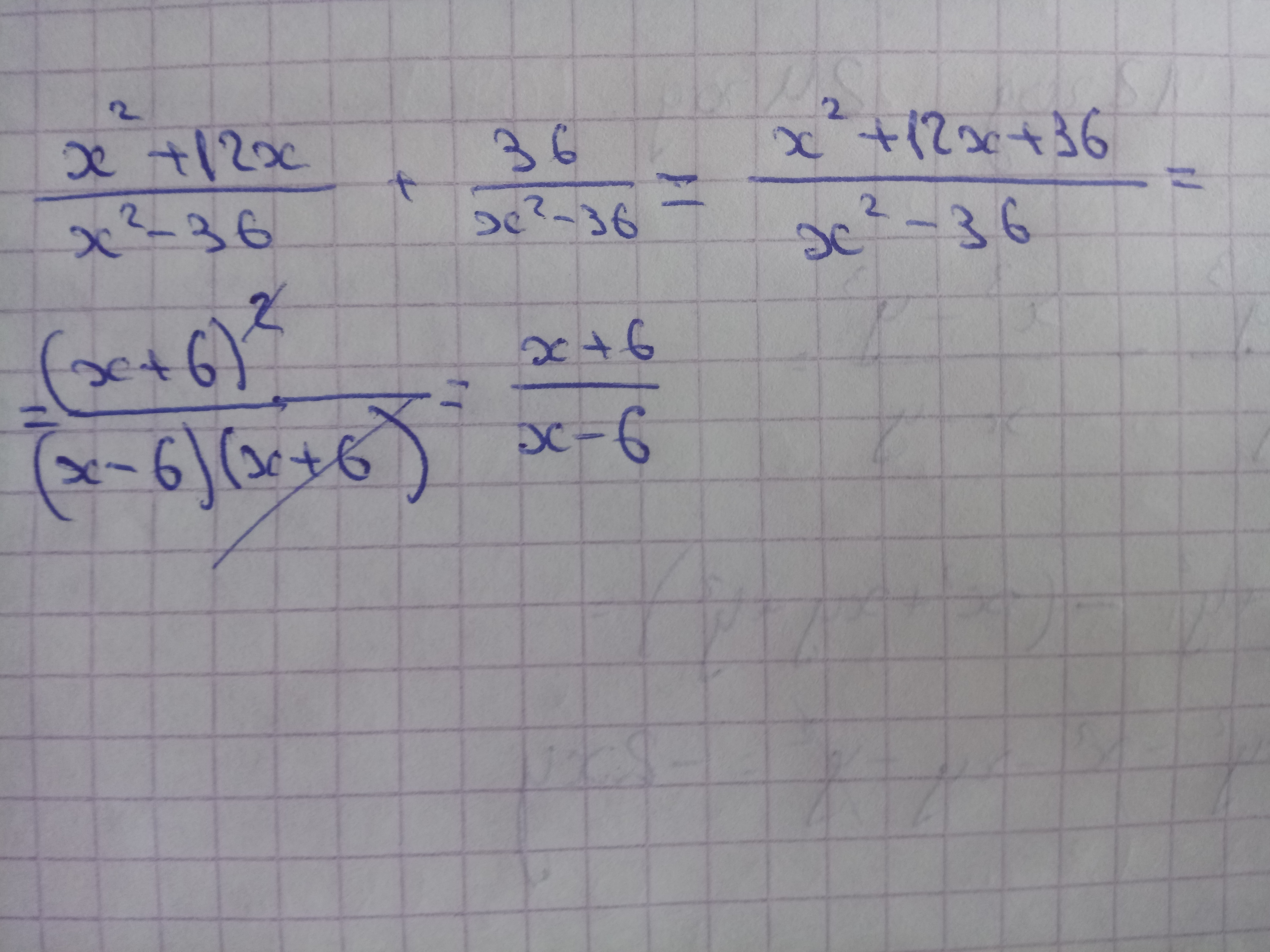
Ответ дал: valenivan
0

Решение задания приложено

Приложения:
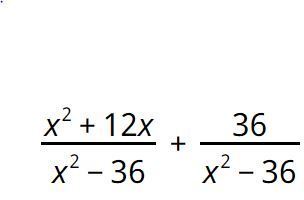
Ответ дал: Regent1828
0

 displaystyle frac{x^{2}+12x}{x^{2}-36}+frac{36}{x^{2}-36}=frac{x^{2}+12x+36}{(x-6)(x+6)}=frac{(x+6)^{2}}{(x-6)(x+6)}=frac{x+6}{x-6};

Приложения:
Вас заинтересует