• Предмет: Алгебра
  • Автор: dinmiss
  • Вопрос задан 8 лет назад

Пожалуйста, помогите решить (если можно, с ответами, проверяю себя)

Приложения:

Ответы

Ответ дал: MatLove
0

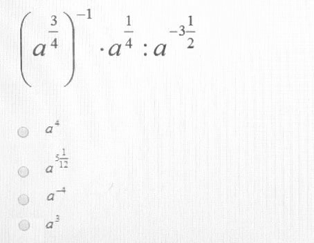
1)(a^3/4)^-1 * a^1/4 : a^-3*1/2. При умножении степени складываются, при делении вычитаются, степень в степень - умножаются. Тогда получаем.

a^(-3/4+1/4+3*1/2)= a^(-1/2+3*1/2) = a^3

Ответ: a^3

2)В скобках буду писать основание логарифма.

log(1/3)54 - 1/3log(1/3)8 +log(1/3)81

1/3log(1/3)8 = log(1/3)2. Заменим разность логарифмов логарифмом частного, тогда log(1/3)54 - log(1/3)2 = log(1/3)27.

Получаем log(1/3)27+log(1/3)81 = -3 -4 = -7

Ответ: -7

3)Корень существует тогда, когда подкоренное выражение неотрицательно. Т.е.

(1/7)^-2x > 1/49 Перепишем это так.

7^2x > 7^-2. Т.к. 7>1 , то знак не меняем и 2x>-2 т.е x>-1

Ответ: x> -1


Ответ дал: dinmiss
0
Спасибо! Всё сошлось!)
Вас заинтересует