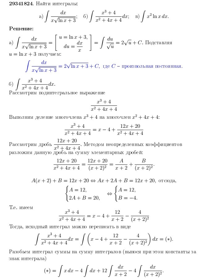
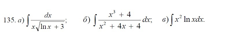
Найти интегралы (написать подробно как найден интеграл)

Приложения:

Ответы

Ответ дал: SkyBy
0

Смотрите решение в прикреплённых файлах.

Приложения:
Ответ дал: artalex74
0

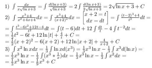
 1) int frac{dx}{xsqrt{ln x+3}}  = int frac{d(ln x+3)}{sqrt{ln x+3}}  = 2int frac{d(ln x+3)}{2sqrt{ln x+3}} = 2 sqrt{ln x+3}+C

 2) int frac{x^3+4}{x^2+4x+4} dx  = int frac{x^3+4}{(x+2)^2} dx  = left[ begin{matrix} x+2=t\ dx=dt end{matrix}right ] = int frac{(t-2)^3+4}{t^2}dt=\ =  int frac{t^3-6t^2+12t-4}{t^2}dt= int (t-6)dt +12 int frac{dt}{t} -4 int t^{-2} dt=\ = frac{1}{2}t^2-6t+12 ln|t| + frac{4}{t}  +C = \ = frac{1}{2}(x+2)^2-6(x+2)+12 ln|x+2| + frac{4}{x+2}  +C

 3) int x^2 ln xdx = frac{1}{3} int ln x d(x^3) =  frac{1}{3}x^3 ln x-  frac{1}{3} int x^3 d(ln x)= \ = frac{1}{3}x^3 ln x-  frac{1}{3} int (x^3* frac{1}{x} ) dx = frac{1}{3}x^3 ln x-  frac{1}{3} int x^2 dx =\ = frac{1}{3}x^3 ln x-frac{1}{9}x^3 +C

Приложения:
Вас заинтересует