Ответы
Ответ дал:
0
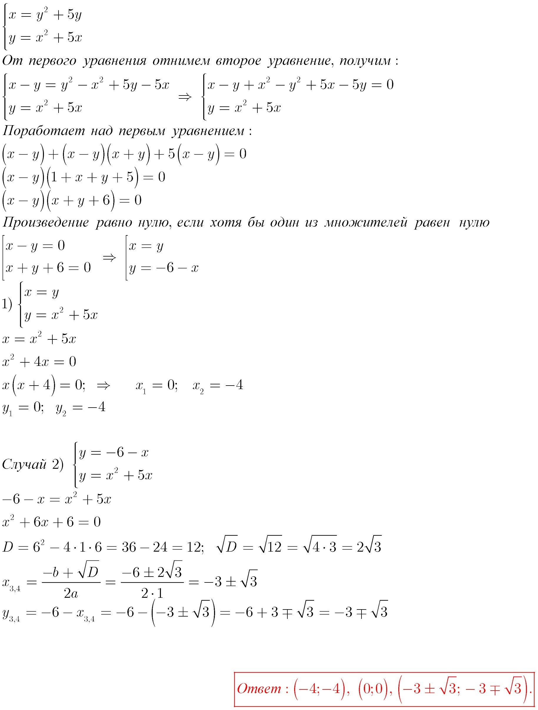
Решение смотрите на фотке.....
Приложения:

Вас заинтересует
3 года назад
3 года назад
9 лет назад
9 лет назад