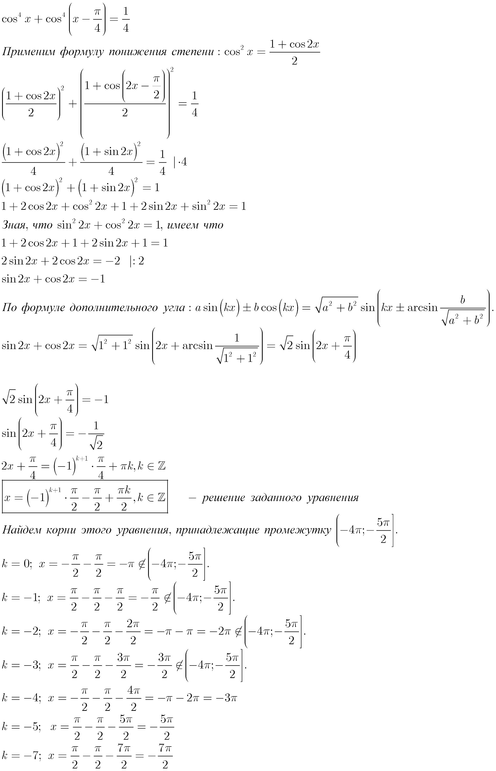
Решите уравнение
cos^4x+cos^4(x-П/4)=1/4
Найдите корни этого уравнения, принадлежащие промежутку ( − 4 П;− 5П /2 ]
Ответы
Ответ дал:
0
Решение смотрите на фотке...
Приложения:

Вас заинтересует
3 года назад
3 года назад
9 лет назад
9 лет назад
9 лет назад