• Предмет: Математика
  • Автор: colacom407
  • Вопрос задан 8 лет назад

Как ето решить? Я боюсь ошыбится

Приложения:

Ответы

Ответ дал: Аноним
0

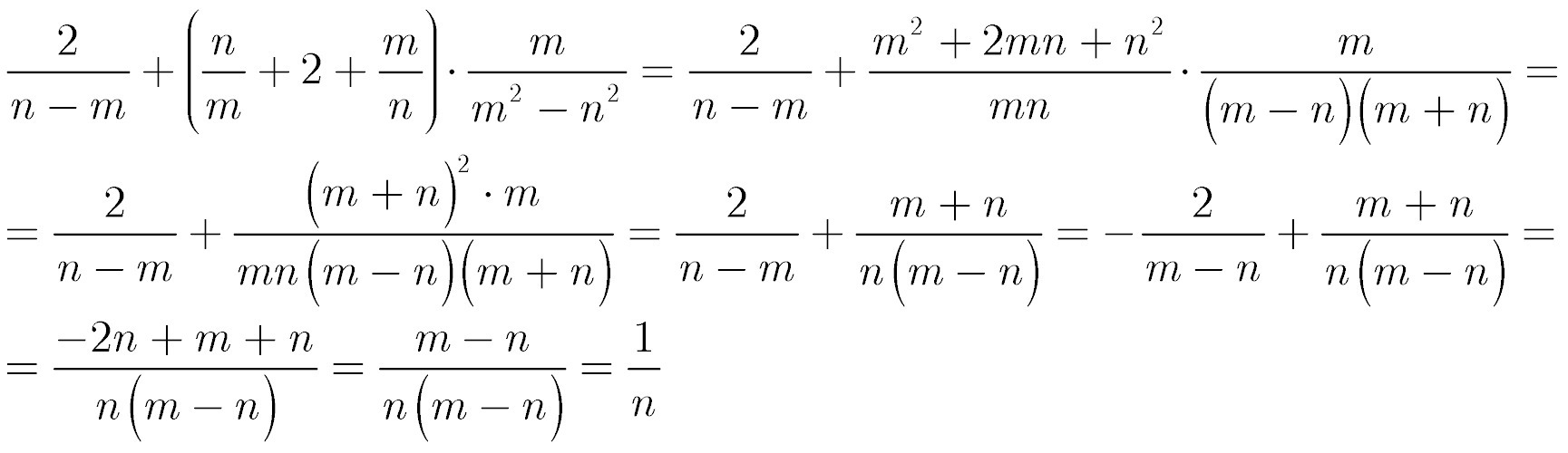
Решение смотрите во вложении....

Приложения:
Ответ дал: MeDi0N
0

..........................

Приложения:
Вас заинтересует