• Предмет: Математика
  • Автор: caramelios
  • Вопрос задан 8 лет назад

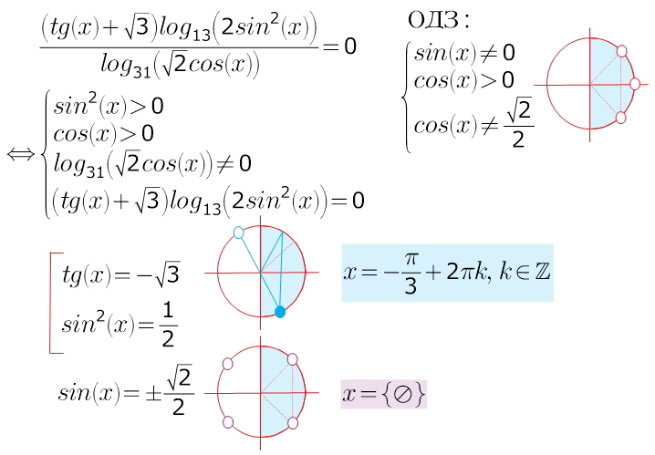
Решите уравнение.

Математика. Профиль

Приложения:

Ответы

Ответ дал: LFP
0

дробь равна нулю, если числитель =0, а знаменатель НЕ=0

Приложения:
Вас заинтересует