• Предмет: Математика
  • Автор: anastasiya55168
  • Вопрос задан 8 лет назад

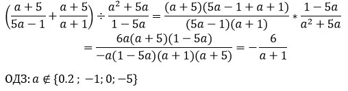
Докажите тождество, приведя левую часть к виду, который имеет правая часть. Запишите содержание этапов.

Помогите!! Даю 40 баллов!!!

Приложения:

Ответы

Ответ дал: NeZeRAvix
0

Решено  checkmark

Приложения:
Ответ дал: Аноним
0

Решение прикреплено в файле:

Приложения:
Вас заинтересует