• Предмет: Алгебра
  • Автор: Nikita11092003
  • Вопрос задан 8 лет назад

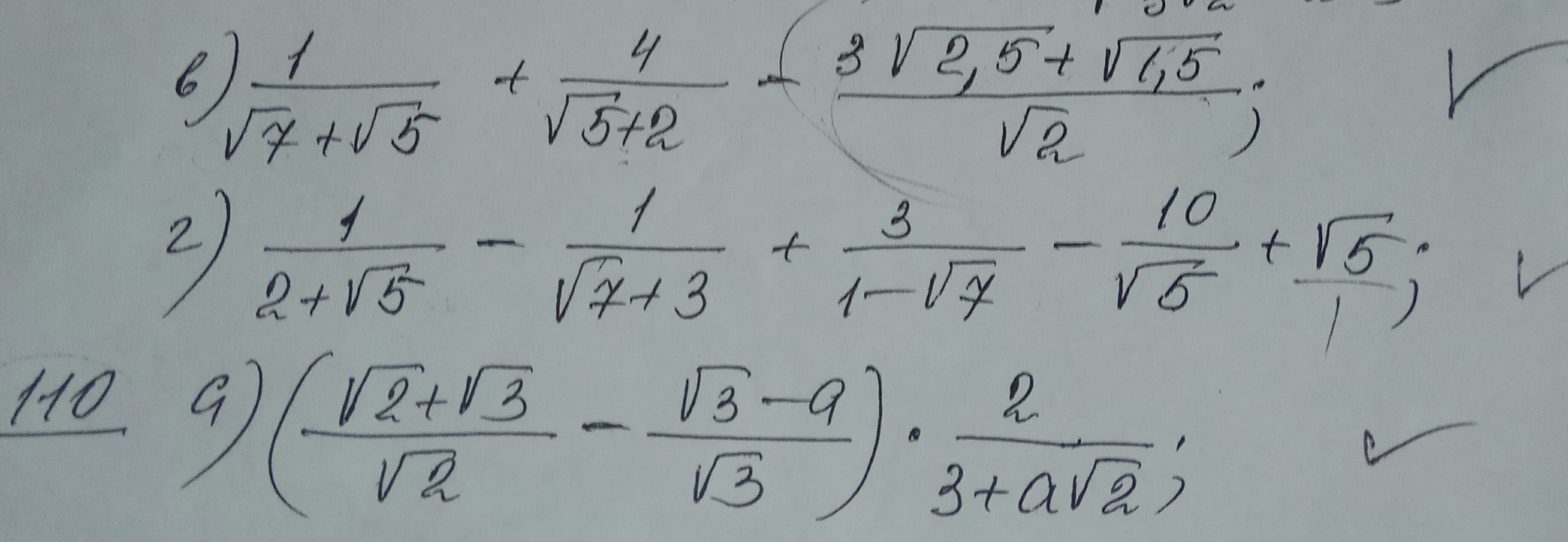
Выполните действие в 3 примерах

Приложения:

Ответы

Ответ дал: glebrussia
0

в)1/(√7 + √5) + 4/(√5+2) +(3√2,5+√1,5)/√2=

(√7-√5)/(7-5) + 4(√5 - 2)(5-4) + (3√2,5*√2 + √1,5*√2)/2 =
(Умножим и поделим выражение на 2)
0.5(√7-√5+8√5-16+3√5+√3)=
= 0,5√7 - 5√5 + 0,5√3 -8

Ответ дал: 44Anna449
0

√7-√5)/(7-5) + 4(√5 - 2)(5-4) + (3√2,5*√2 + √1,5*√2)/2 =
(Умножим и поделим выражение на 2)
0.5(√7-√5+8√5-16+3√5+√3)=
= 0,5√7 - 5√5 + 0,5√3 -8

Вас заинтересует