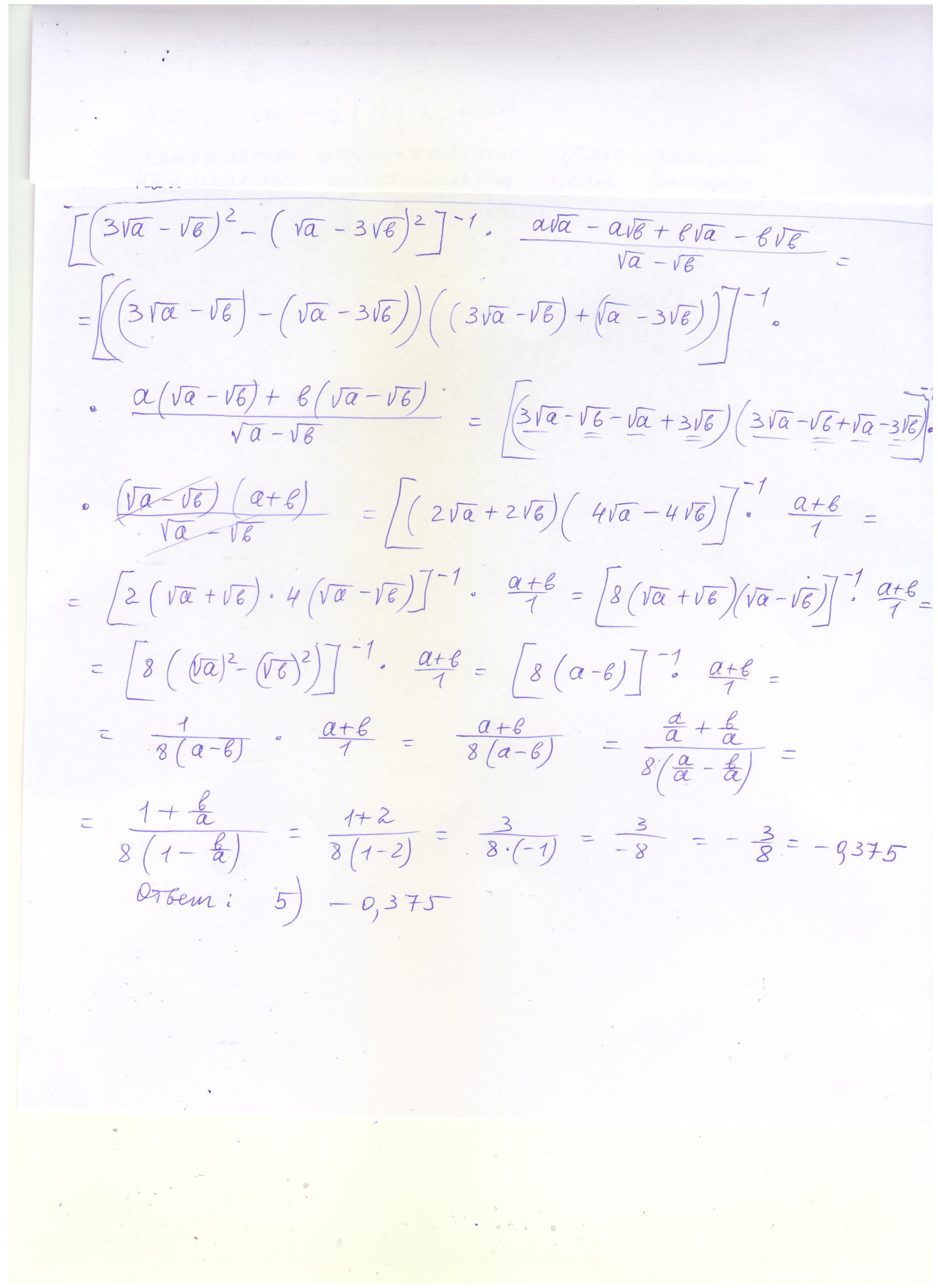
Упростив выражение |(3корняА - кореньВ)^2 - (кореньА - 3корняВ)^2|^-1 * (AкорнейА - АкорнейВ + ВкорнейА - ВкорнейВ) / (кореньА - кореньВ) , вычислить его значение при условии, что В/А = 2
Приложения:

Ответы
Ответ дал:
0
Смотри приложенное решение
Приложения:

Ответ дал:
0
1. По формуле сокращенного умножения a²-b²=(a+b)(a-b):
(3√a-√b+√a-3√b)(3√a-√b-√a+3√b)=(4√a-4√b)(2√a+2√b)=(4(√a-√b))·(2(√a+√b))=8·(a-b)
2. Во втором множителе выносим a и b за скобки:
a(√a-√b)+b(√a-√b)
________________=a+b
√a-√b
3.Возводим в степень -1 первый множитель, получаем:
1
_______
8(a-b)
4. Подставляем b=2a
a+b
______=(a+2a) / (8(a-2a) = 3a/(-8a)=-0,375
8(a-b)
Ответ: 5)
Приложения:

Вас заинтересует
3 года назад
9 лет назад
9 лет назад