• Предмет: Алгебра
  • Автор: Qaz17Qaz
  • Вопрос задан 8 лет назад

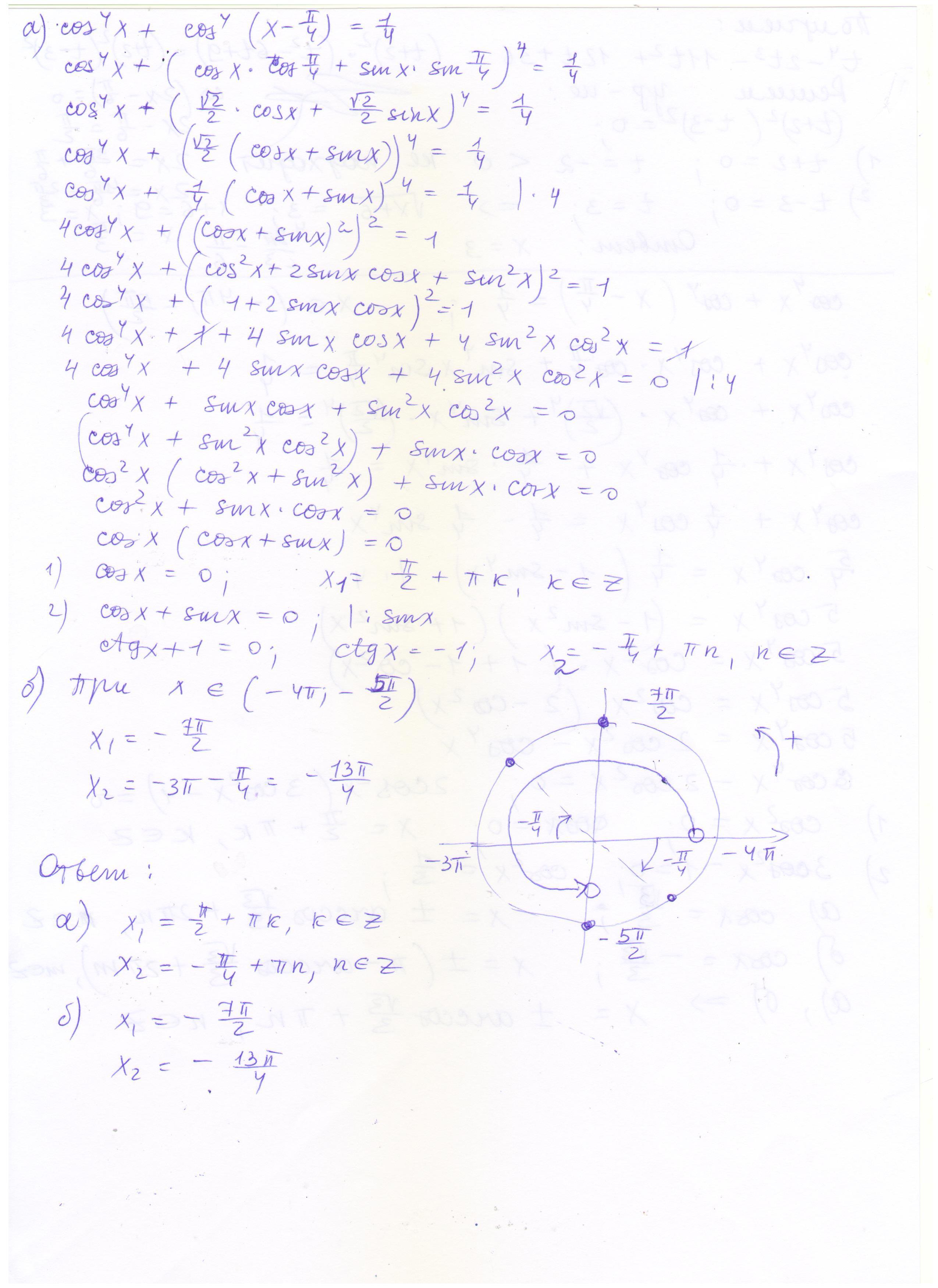
Решите уравнение)
cos^4⁡x+cos^4⁡(x-П/4)=1/4
Найдите корни этого уравнения, принадлежащие промежутку ( − 4 П;− 5П /2 ]

Ответы

Ответ дал: alfabetta
0

Смотри приложенное решение

Приложения:
Ответ дал: Qaz17Qaz
0
Тут еще один корень должен быть - 5П/2
Вас заинтересует