• Предмет: Алгебра
  • Автор: valfer123321
  • Вопрос задан 8 лет назад

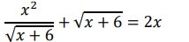
Как решить через замену?

Приложения:

Ответы

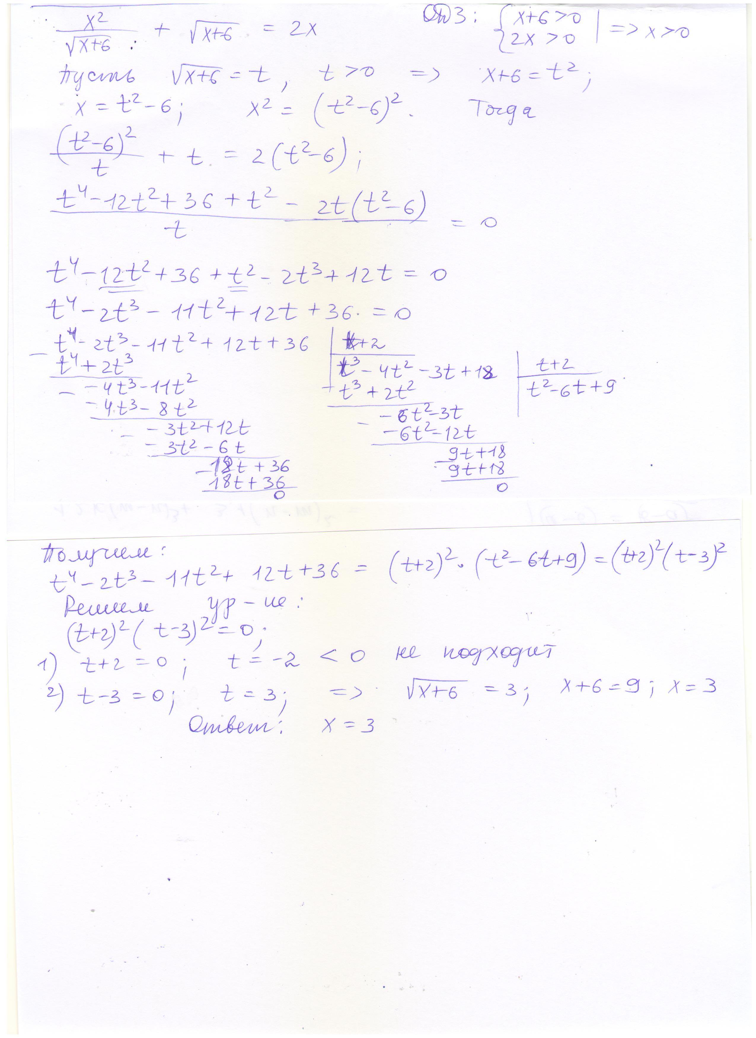
Ответ дал: alfabetta
0

Смотри приложенное решение

Приложения:
Вас заинтересует