Ответы
Ответ дал:
0
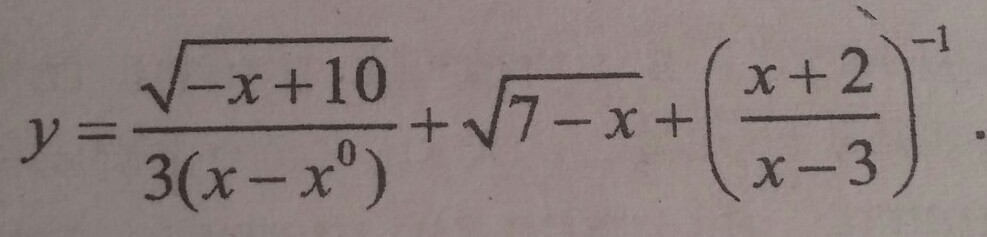
1)Первое, на что следует обратить внимание, это корень.

Второе, это дроби. Вторая дробь переворачивается, поэтому х не -2.
И х в нулевой степени это 1,поэтому х не равно 1.
Ответ: (-беск;7) кроме -2 и 1
Второе, это дроби. Вторая дробь переворачивается, поэтому х не -2.
И х в нулевой степени это 1,поэтому х не равно 1.
Ответ: (-беск;7) кроме -2 и 1
Вас заинтересует
2 года назад
2 года назад
3 года назад
9 лет назад
9 лет назад
10 лет назад