• Предмет: Математика
  • Автор: AzStyle
  • Вопрос задан 8 лет назад

lg(2cos15) / lg(2sin15)

Ответы

Ответ дал: talk111
0

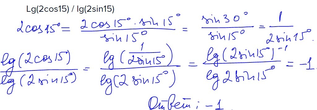
.......................... ........................... ........................

Приложения:
Ответ дал: alkorb
0

 frac{lg(2cos15)}{lg(2sin15)} =frac{lg(2*sqrt{frac{1+cos30}{2}})}{lg(2*sqrt{frac{1-cos30}{2}})}   =frac{lg(sqrt{2+2cos30})}{lg(sqrt{2-2cos30})}  =frac{lg(sqrt{2+sqrt{3}})}{lg(sqrt{2-sqrt{3}})}   =frac{lg(2+sqrt{3})^{0.5}}{lg(2-sqrt{3})^{0.5}}  =\ \ = frac{0.5lg(2+sqrt{3})}{0.5lg(2-sqrt{3})}  =frac{lg(2+sqrt{3})}{lg(2-sqrt{3})}  =frac{lgfrac{(2+sqrt{3})(2-sqrt{3})}{2-sqrt{3}}}{lg(2-sqrt{3})}=frac{lgfrac{4-3}{2-sqrt{3}}}{lg(2-sqrt{3})}=

 =frac{lgfrac{1}{2-sqrt{3}}}{lg(2-sqrt{3})}=frac{lg(2-sqrt{3})^{-1}}{lg(2-sqrt{3})}  =frac{-lg(2-sqrt{3})}{lg(2-sqrt{3})} =-1 \ \ OTBET:  -1

Приложения:
Вас заинтересует