• Предмет: Алгебра
  • Автор: Muxacekakbar
  • Вопрос задан 8 лет назад

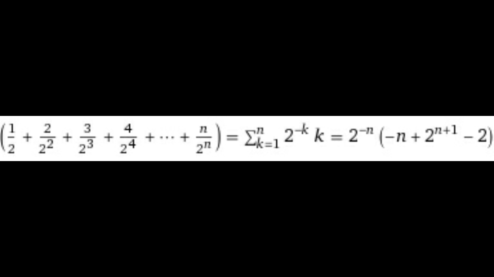
Объясните, пожалуйста, как раскрылась эта сумма!) <3

Приложения:

Ответы

Ответ дал: Segrif
0

 Sigma_{k=1}^{n} 2^{-k}k = 2^{-n}Sigma_{k=1}^{n} 2^{n-k}Sigma_{i=1}^{k}1 = 2^{-n}Sigma_{1leq i leq k leq n}2^{n-k} = 2^{-n}Sigma_{i=1}^{n}Sigma_{k=i}^{n}2^{n-k} = 2^{-n}Sigma_{i=1}^{n}Sigma_{j=0}^{n-i}2^{j} = 2^{-n}Sigma_{i=1}^{n}(2^{n-i+1} - 1) = 2^{-n}(-n + Sigma_{m=1}^{n}2^m) = 2^{-n}(-n + 2^{n+1} - 2)

Вас заинтересует