• Предмет: Алгебра
  • Автор: mamiy2003
  • Вопрос задан 8 лет назад

Найдите значение выражения по-братски

Приложения:

Ответы

Ответ дал: artalex74
0

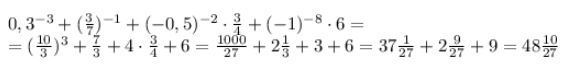
 0,3^{-3}+(frac{3}{7} )^{-1}+(-0,5)^{-2} cdot frac{3}{4} +(-1)^{-8} cdot 6 =\ = (frac{10}{3} )^3+frac{7}{3} +4 cdot frac{3}{4} +6= frac{1000}{27}+2frac{1}{3}+3+6=37frac{1}{27} +2frac{9}{27} +9=48frac{10}{27}

Приложения:
Ответ дал: svetazuna
0

0,3⁻³ + (3/7)⁻¹ + (-0,5)⁻² * 3/4 + (-1)⁻⁸ * 6 =

= 1/(0,3)³ +(7/3)¹ + 1/(-0,5)² * 3/4 + 1/(-1)⁸ * 6 =

= (10/3)³ + 7/3 + (-10/5)² * 3/4 + 1 * 6 =

= 1000/27 + 7/3 + 100/25 * 3/4 + 6 =

= 1000/27 + 63/27 + 3 + 6 =

= 1063/27 + 9 =

= 39 10/27 + 9 = 48 10/27

Приложения:
Вас заинтересует