• Предмет: Математика
  • Автор: VIPmaxwellVIP
  • Вопрос задан 8 лет назад

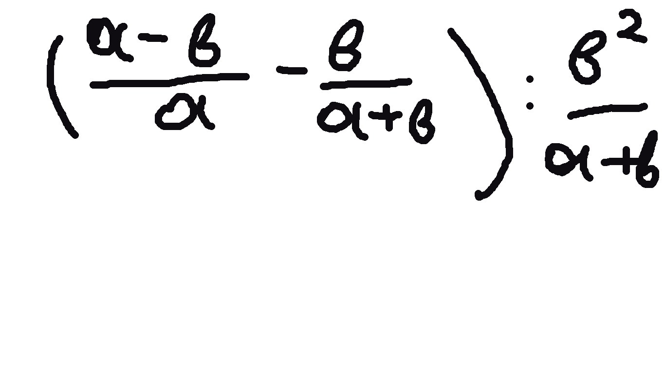
помогите .................................................

Приложения:

Ответы

Ответ дал: juniorotabekpai8do
0

Ответ на картинке внизу страницы

Приложения:
Ответ дал: VIPmaxwellVIP
0
вроде неправильно
Ответ дал: juniorotabekpai8do
0
Я тоже засомневался в ответе, но ошибку не нашел
Ответ дал: pavlikleon
0
а нет ошибки, и данное в ответе выражение проще.. чем те к чему приведет деление ..
Вас заинтересует