• Предмет: Математика
  • Автор: VIKkio
  • Вопрос задан 11 лет назад

даю 12 балов
решение полное

Приложения:

Ответы

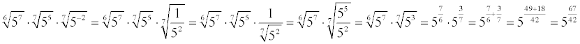
Ответ дал: Tangodown
0
Проверь на всякий случай.
Приложения:
Вас заинтересует