• Предмет: Математика
  • Автор: al11111111111111111
  • Вопрос задан 8 лет назад

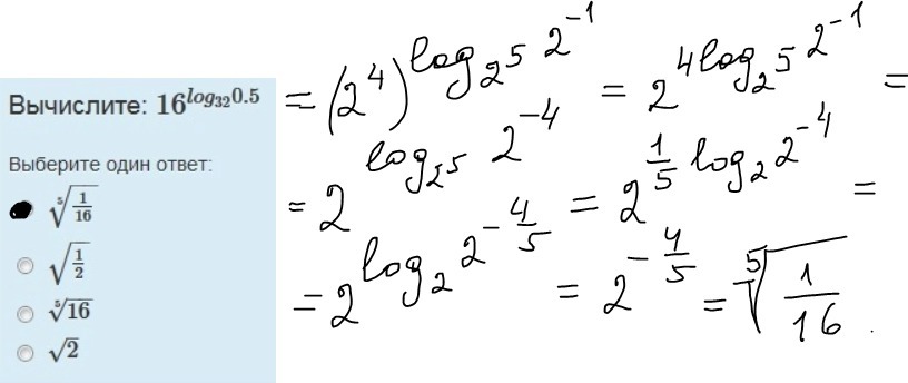
вычислите 16log32^0.5

Приложения:

Ответы

Ответ дал: talk111
0

..................... ...................... .....................

Приложения:
Вас заинтересует