• Предмет: Алгебра
  • Автор: peachrich06
  • Вопрос задан 8 лет назад

Помогите решить, пожалуйста!

Приложения:

Ответы

Ответ дал: NNNLLL54
0

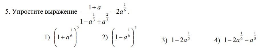
 frac{1+a}{1-a^{frac{1}{3}}+a^{frac{2}{3}}}-2a^{frac{1}{6}}=frac{(1+a^{frac{1}{3}})(1-a^{frac{1}{3}}+a^{frac{2}{3}})}{1-a^{frac{1}{3}}+a^{frac{2}{3}}}-2a^{frac{1}{6}}=\\=1+a^{frac{1}{3}}-2a^{frac{1}{6}}=1-2a^{frac{1}{6}}+a^{frac{2}{6}}=(1-a^{frac{1}{6}})^2

Ответ дал: peachrich06
0
Спасибо большое!!
Вас заинтересует