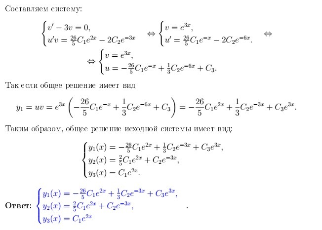
Найти общее решение системы линейных дифференциальных уравнений
Y'=AY, в которой Y – матрица-столбец функций, A – матрица коэффициентов
y₁(x)
Y= ( y₂(x) )
y₃(x)
A=![left[begin{array}{ccc}a11&a12&a13\a21&a22&a23\a31&a32&a33end{array}right] left[begin{array}{ccc}a11&a12&a13\a21&a22&a23\a31&a32&a33end{array}right]](https://tex.z-dn.net/?f=+left%5Bbegin%7Barray%7D%7Bccc%7Da11%26amp%3Ba12%26amp%3Ba13%5Ca21%26amp%3Ba22%26amp%3Ba23%5Ca31%26amp%3Ba32%26amp%3Ba33end%7Barray%7Dright%5D+)
A=
Ответы
Ответ дал:
0
Смотрите решение в прикреплённых файлах.
Приложения:


Вас заинтересует
2 года назад
2 года назад
3 года назад
9 лет назад
9 лет назад
9 лет назад