При изобарном нагревании газа на 100К его объем увеличился на 75%. Определите конечную температуру газа.
Ответы
Ответ дал:
0
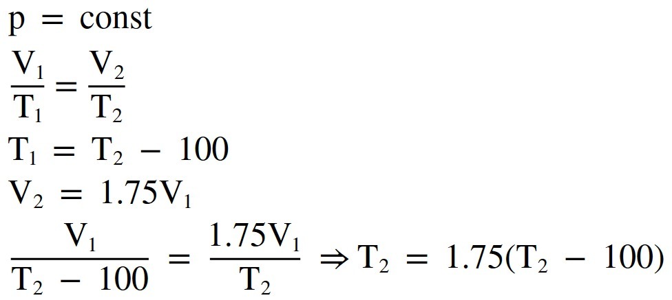
Дано:
T₁
ΔT = 100 К
V₁
V₂ = 1,75·V₁
__________
T₂ - ?
Поскольку процесс изобарный, то воспользуемся законом Гей-Люссака:
T₂ / T₁ = V₂ / V₁
(T₁ + ΔT) / T₁= 1,75·V₁ / V₁
1 + ΔT/T₁ = 1,75
ΔT/T₁ = 0,75
T₁ = ΔT / 0,75
T₁ = 100 / 0,75
T₁ ≈ 133 К
T₂ = T₁ + ΔT = 133 + 100 = 233 K
Ответ дал:
0
Конечный ответ: T2 ≈ 233K
Приложения:

Вас заинтересует
2 года назад
2 года назад
3 года назад
3 года назад
9 лет назад
9 лет назад
9 лет назад