Ответы
Ответ дал:
0
.................................. ............................
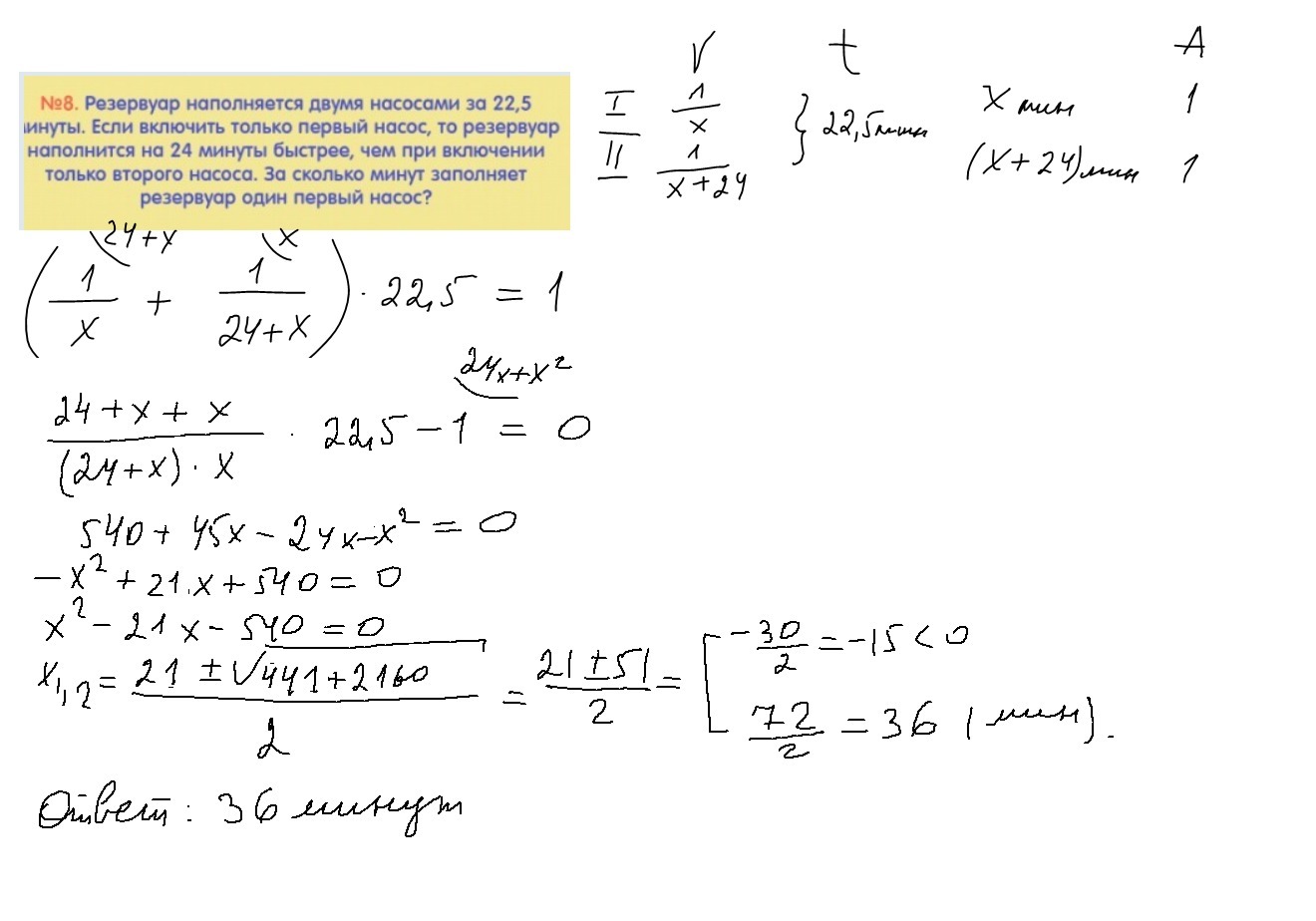
Приложения:

Ответ дал:
0
!!!!!!!!!!!!!!!!!!!!!!!!!!!!!!
Приложения:

Вас заинтересует
2 года назад
2 года назад
3 года назад
9 лет назад
9 лет назад