Висота рівнобічної трапеції дорівнює 9 см, а її діагоналі перпендикулярні. Знайдіть периметр трапеції, якщо її бічна стороні дорівнює 12 см.
Ответы
Ответ дал:
0
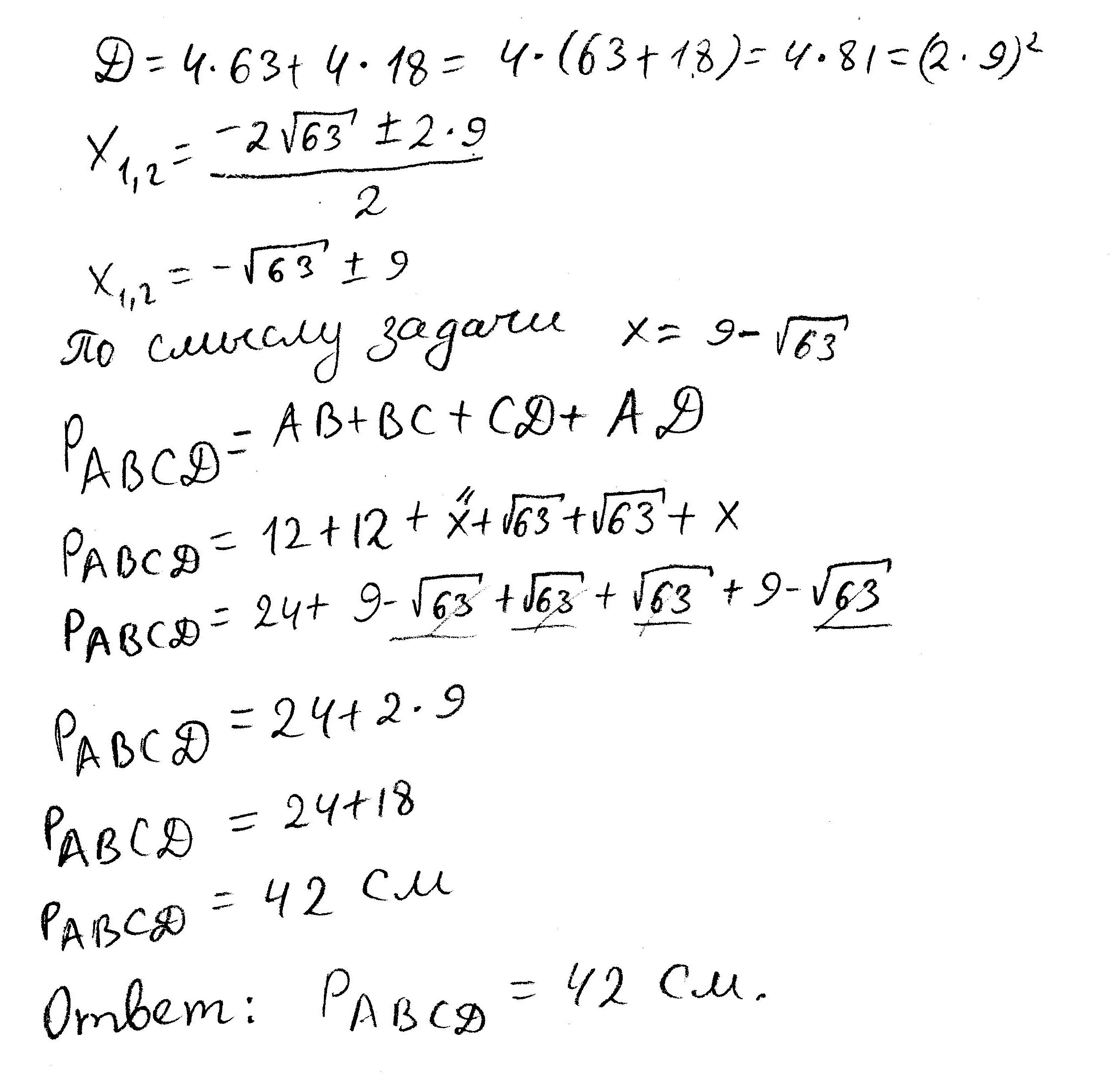
Решение в приложении. Ответ:42 см.
Приложения:



Ответ дал:
0
Второй способ: дополнительно построить СЕ параллельно диагонали ВD. Пусть ВС = х , тогда BC = H1H2 = DE = x . Диагонали равнобедренной трапеции перпендикулярны и равны => ВD || CE => АС перпендикулярен СЕ . Рассмотрим ∆ АСЕ: По теореме Пифагора: АС² + СЕ² = АЕ² ; 2АС² = ( 2х + 6√7 )² ; 2АС² = 4( х + 3√7 )² ; АС² = 2( х + 3√7 )² . Рассмотрим ∆ СН2Е: По теореме Пифагора: СЕ² = СН² + Н2Е² ; СЕ² = 81 + ( х + 3√7 )² . Так как АС = СЕ , приравняем эти правые части =>
Ответ дал:
0
2( х + 3√7 )² = 81 + ( х + 3√7 )² ; ( х + 3√7 )² = 81 ; х + 3√7 = 9 ; х = 9 - 3√7 ; Периметр трапеции равен: 9 - 3√7 + 9 - 3√7 + 6√7 + 24 = 18 + 24 = 42...
Ответ дал:
0
Третий способ. Когда дополнительно построен отрезок СЕ параллельно диагонали BD, то полученный треугольник АСЕ прямоугольный равнобедренный, в котором высота СН2 одновременно медиана и равна половине гипотенузы АЕ. Тогда АЕ=18 - сумма двух оснований трапеции по построению. Периметр 18+12+12=42 см.
Ответ дал:
0
По свойству трапеции: если в равнобедренной трапеции диагонали взаимно перпендикулярны, то высота равна полусуммы оснований. Отсюда 18 + 12 + 12 = 42 см.
Вас заинтересует
2 года назад
3 года назад
3 года назад
9 лет назад
9 лет назад