• Предмет: Физика
  • Автор: alexandr9987
  • Вопрос задан 8 лет назад

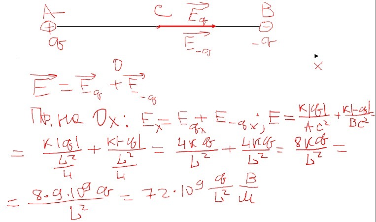
Знайти напруженість електричного поля в точці, що знаходиться посередині між різнойменними зарядами q і -q. Відстань між зарядами L .

або

Найти напряженность электрического поля в точке, находящейся посередине между разноименными зарядами q и -q. Расстояние между зарядами L.

Ответы

Ответ дал: ruslank1460
0

Розв'язок задачі у вкладенні

Приложения:
Вас заинтересует