Ответы
Ответ дал:
0
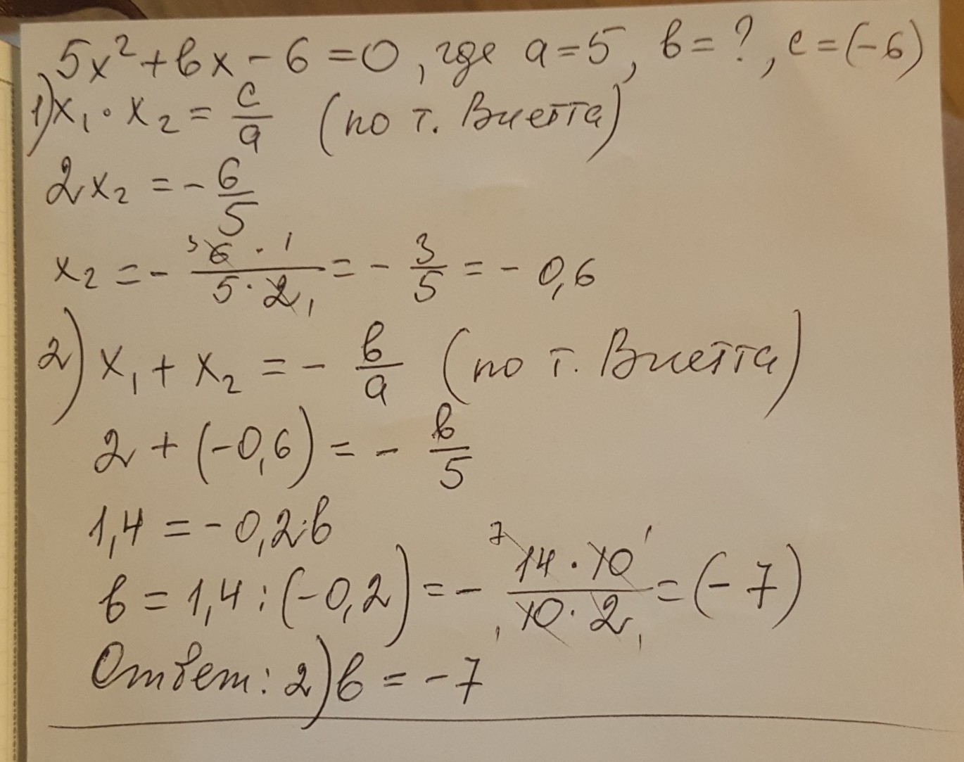
1)Делим на 5:
х^2+bx/5-1,2=0
X1=2,
x2=c/x1=-1,2/2=-12/20=-6/10=-0,6
-b=x1+x2=2-0,6=1,4
B=-1,4
Обратно умножаем на 5.
B=-7
Ответ: 2)
2)с=15,b=8
Ответ: 4)
3)2х^2-4х=х^2+2х+1-17
Х^2-6х+16=0
D=36-16*4<0
Ответ: 3)
х^2+bx/5-1,2=0
X1=2,
x2=c/x1=-1,2/2=-12/20=-6/10=-0,6
-b=x1+x2=2-0,6=1,4
B=-1,4
Обратно умножаем на 5.
B=-7
Ответ: 2)
2)с=15,b=8
Ответ: 4)
3)2х^2-4х=х^2+2х+1-17
Х^2-6х+16=0
D=36-16*4<0
Ответ: 3)
Ответ дал:
0
ответ смотри на фото.
Приложения:
Вас заинтересует
2 года назад
3 года назад
9 лет назад
9 лет назад
10 лет назад