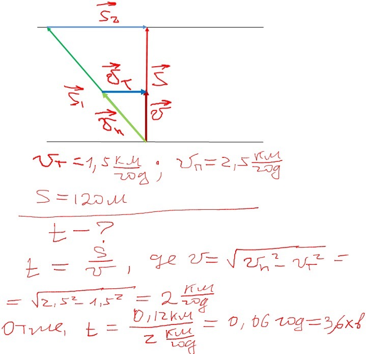
Плавець перепливає річку так, щоб вийти на протилежному березі якраз навпроти відправної точки. Визначте час переправи, якщо ширина річки становить 120 м, швидкість течії 1,5 км/год, швидкість плавця відносно води 2,5 км/год.
Ответы
Ответ дал:
0
Розв'язок задачі у вкладеннях
Приложения:

Ответ дал:
0
Не варто було віддавати так багато балів;)
Приложения:

Вас заинтересует
2 года назад
2 года назад
3 года назад
3 года назад
9 лет назад
9 лет назад
9 лет назад