• Предмет: Математика
  • Автор: mfatihov
  • Вопрос задан 8 лет назад

-(3/12)log2(3/12)-(3/12)log2(3/12)-(6/12)log2(6/12)=?
я знаю ответ. Подскажите подробный ход решения.

Ответы

Ответ дал: juniorotabekpai8do
0

Ответ на картинке внизу страницы

Приложения:
Ответ дал: snow99
0

 -  frac{3}{12}  log_{2}( frac{3}{12} )  -  frac{3}{12}  log_{2}( frac{3}{12} )  -  frac{6}{12}  log_{2}( frac{6}{12} )  =  log_{2}(( frac{3}{12} ) ^{ -  frac{3}{12} }  )  -  log_{2}( {( frac{3}{12}) }^{ frac{3}{12} } )  -   log_{2}( frac{6}{12} ) ^{ frac{6}{12} }  =   log_{2}( ({ frac{3}{12}) }^{ -  frac{3}{12} } div ( frac{3}{12} )^{ frac{3}{12} }  )  -  log_{2}( frac{6}{12} ) ^{ frac{6}{12} }  =  log_{2}( {( frac{3}{12} )}^{ -  frac{3}{12} -  frac{3}{12}  } )  -  log_{2}( frac{6}{12} )  ^{ frac{6}{12} }  =  log_{2}( frac{3}{12} ) ^{ -  frac{6}{12} }  -  log_{2}( frac{6}{12} )  ^{ frac{6}{12} }  =  log_{2}(( frac{3}{12}) ^{ -  frac{6}{12} }   div  {( frac{6}{12}) }^{ frac{6}{12} } )  =  log_{2}(  ({ frac{3}{12}) }^{ -  frac{6}{12} } times  {2}^{ frac{6}{12} }  )  =  log_{2}(( { frac{1}{4} )}^{ -  frac{1}{2} }  times  {2}^{ frac{1}{2} } )  =  log_{2}( {4}^{ frac{1}{2} } times  {2}^{ frac{1}{2} }  )  =  log_{2}(2 times  {2}^{ frac{1}{2} } )  =  log_{2}( {2}^{1 +  frac{1}{2} } )  =  log_{2}( {2}^{ frac{3}{2} } )  =  frac{3}{2}
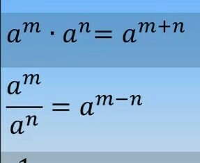
Здесь использовались свойства логарифмов и степеней, указанные во вложении.
Приложения:
Вас заинтересует