• Предмет: Математика
  • Автор: lanaselivanova
  • Вопрос задан 8 лет назад

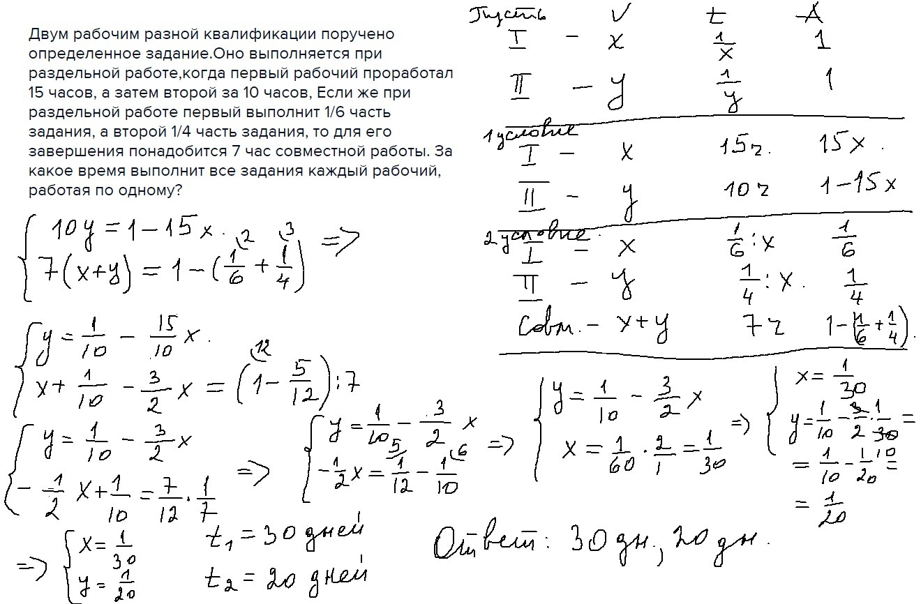
Двум рабочим разной квалификации поручено определенное задание.Оно выполняется при раздельной работе,когда первый рабочий проработал 15 часов, а затем второй за 10 часов, Если же при раздельной работе первый выполнит 1/6 часть задания, а второй 1/4 часть задания, то для его завершения понадобится 7 час совместной работы. За какое время выполнит все задания каждый рабочий, работая по одному?

Ответы

Ответ дал: talk111
0

.......................... ....................... ..........................

Приложения:
Вас заинтересует