• Предмет: Алгебра
  • Автор: hanna18a
  • Вопрос задан 8 лет назад

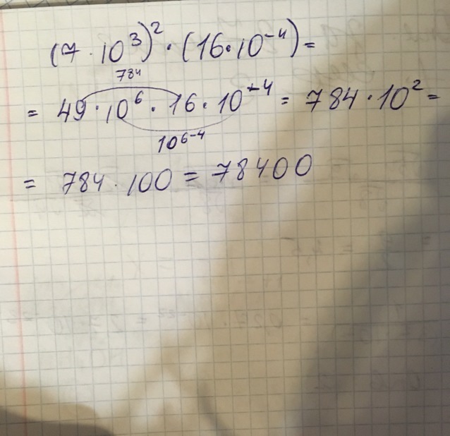
Найди значение выражения

Приложения:

Ответы

Ответ дал: mjul
0
Сисволы.................
Приложения:
Ответ дал: physicsonelove
0
=49*10^6*16*10^-4=49*16*10^2=78400
Приложения:
Вас заинтересует