Помогите с ответом. Алгебра, тема с прогрессией, но больше про разложение многочлена
Приложения:

Ответы
Ответ дал:
0
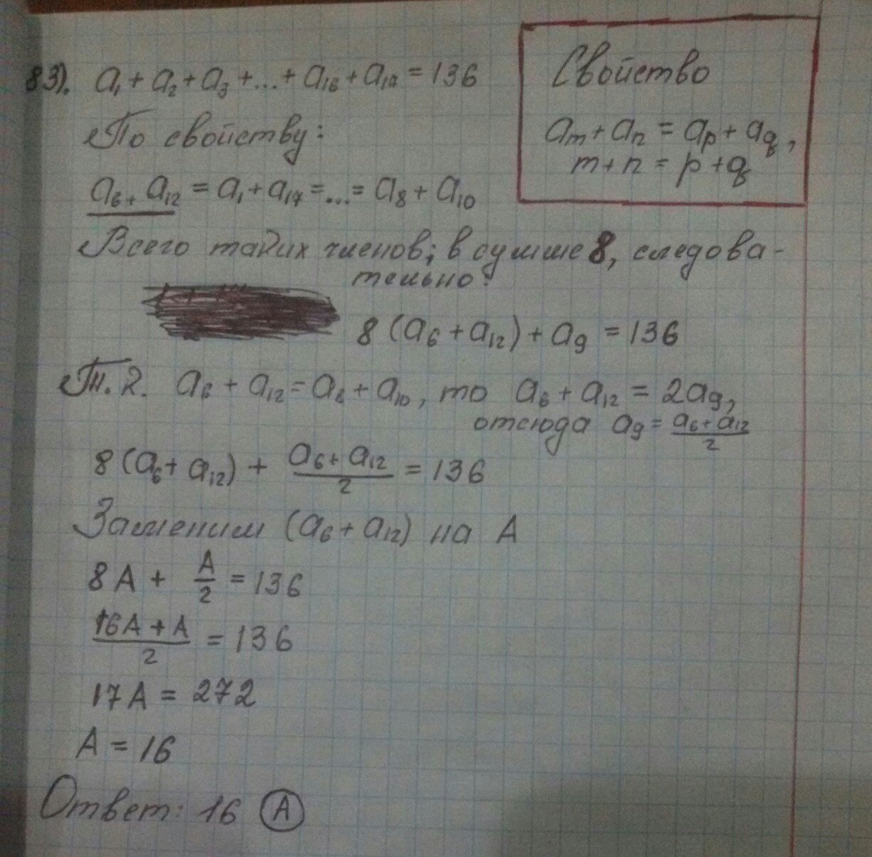
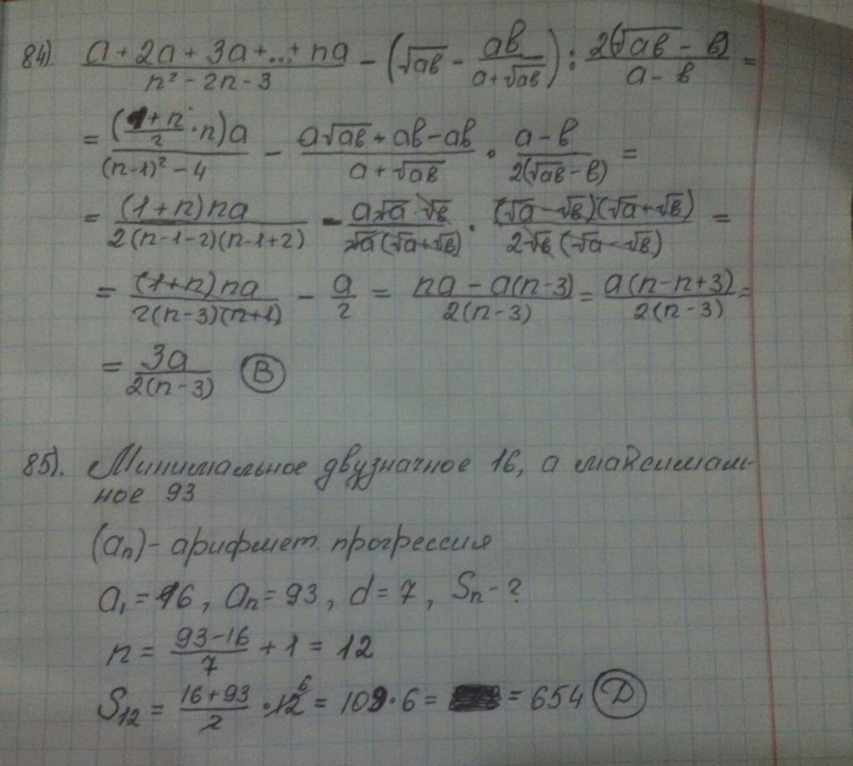
Решение во вложении.
Приложения:


Ответ дал:
0
Спасибо)
Ответ дал:
0
83) проще решается через формулу суммы S17... a1+a17 = 136*2/17 = 16 = 2a1+16d = a1+5d + a1+11d (ничего, кроме двух основных формул для прогрессии...)
Ответ дал:
0
И впрямь. Не заметил этого
Вас заинтересует
2 года назад
2 года назад
3 года назад
3 года назад
9 лет назад
9 лет назад
9 лет назад
9 лет назад