• Предмет: Математика
  • Автор: sveta21011
  • Вопрос задан 8 лет назад

Не трудно!!! Пожалуйста!!! Заранее спасибо!!!

Приложения:

Ответы

Ответ дал: IrkaShevko
0

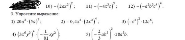
10) -4a²x⁴

11) -(-64x⁹c³) = 64x⁹c³

12) -(a⁸b¹²c¹⁶) = -a⁸b¹²c¹⁶

3.

1) 20a³ * 25a² = 500a⁵

2) -0,4x⁵ * 16x¹² = -6,4x¹⁷

3) c⁶*12c⁶ = 12c¹²

4) 81x²⁴y¹² * (-xy²/81) = -x²⁵y¹⁴

5) -8/27 *a³b¹⁵ * 18a⁵b = -16/3 a⁸b¹⁶

Вас заинтересует