Ответы
Ответ дал:
0
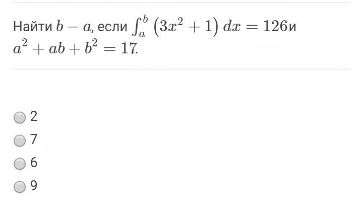
int ot a do b (3x^2 + 1) dx = (3x^3/3 + x) | ot a do b = (x^3 + x) | ot a do b = b^3 - a^3 + b - a = (b - a)*(b^2 + ab + a^2) + b - a = (b - a)*(a^2 + ab + b^2 + 1)
(b - a)*(a^2 + ab + b^2 + 1) = 126
a^2 + ab + b^2 = 17
(b - a)*(17 + 1) = 126
a^2 + ab + b^2 = 17
b - a = 126/18 = 7
Ответ: 2)
(b - a)*(a^2 + ab + b^2 + 1) = 126
a^2 + ab + b^2 = 17
(b - a)*(17 + 1) = 126
a^2 + ab + b^2 = 17
b - a = 126/18 = 7
Ответ: 2)
Ответ дал:
0
b - a = 126/18 = 7
Ответ: 2 Это как?
Ответ: 2 Это как?
Ответ дал:
0
это вариант ответа 2!)
Вас заинтересует
2 года назад
2 года назад
3 года назад
3 года назад
9 лет назад
9 лет назад
10 лет назад