• Предмет: Физика
  • Автор: ClarenceButowski
  • Вопрос задан 8 лет назад

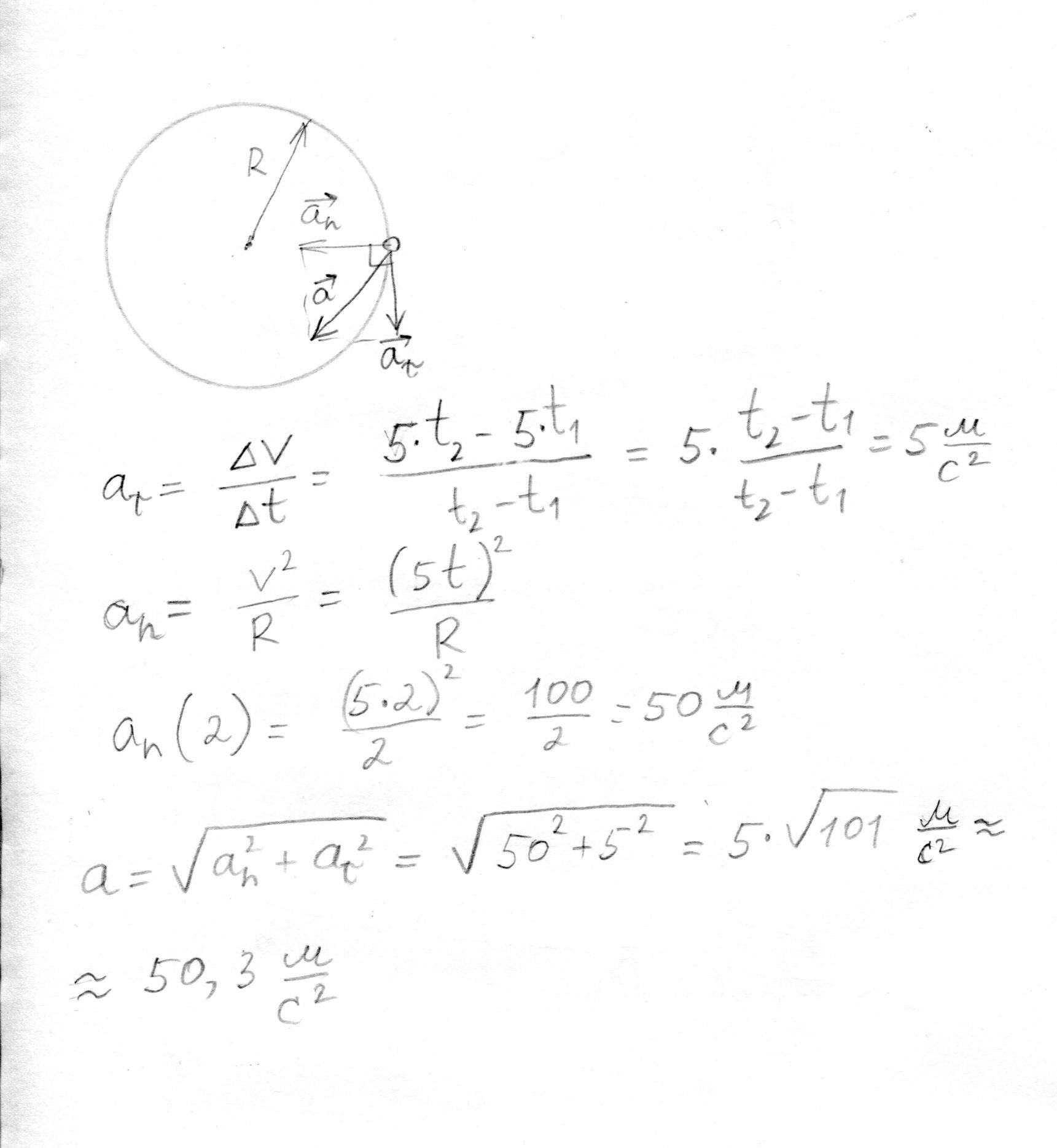
Точка движется по окружности радиуса 2(м) со скоростью V=5*t (м/с). Найти ускорение точки при t1=2 (с).
(Желательно с рисунком)

Ответы

Ответ дал: Аноним
0

========================================>>>

Приложения:
Вас заинтересует