• Предмет: Математика
  • Автор: dikonya0
  • Вопрос задан 8 лет назад

помогите люди добрые пожалуйста.

Приложения:

Ответы

Ответ дал: Аноним
0

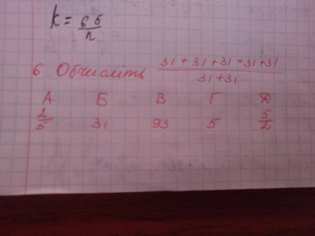
(31+31+31+31+31) / (31+31) = (31*5) / (31*2) = 155/62 =5/2

Вариант Д

Ответ дал: Серенгети
0
155/62 = 155 ÷ 31 / 62 ÷ 31 = 5/2 ( 2,5 ).

Ответ: Д).



Приложения:
Ответ дал: NNNLLL54
0
5/2 ! А почему не сокращаете на 31 ?
Ответ дал: Серенгети
0
Я исправила.
Вас заинтересует