Ответы
Ответ дал:
0
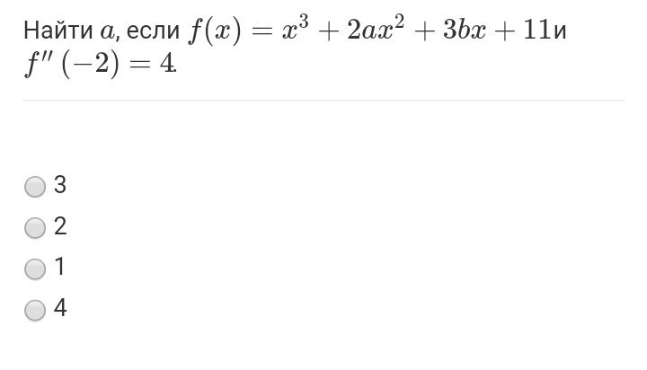
f'(x) =

f''(x) =

f''(-2) = 4
=> 6*(-2) + 4a = 4
-12 + 4a = 4
4a = 16
a = 4
Ответ: 4) 4.
f''(x) =
f''(-2) = 4
=> 6*(-2) + 4a = 4
-12 + 4a = 4
4a = 16
a = 4
Ответ: 4) 4.
Вас заинтересует
2 года назад
2 года назад
3 года назад
3 года назад
9 лет назад
10 лет назад