• Предмет: Геометрия
  • Автор: betsy26
  • Вопрос задан 8 лет назад

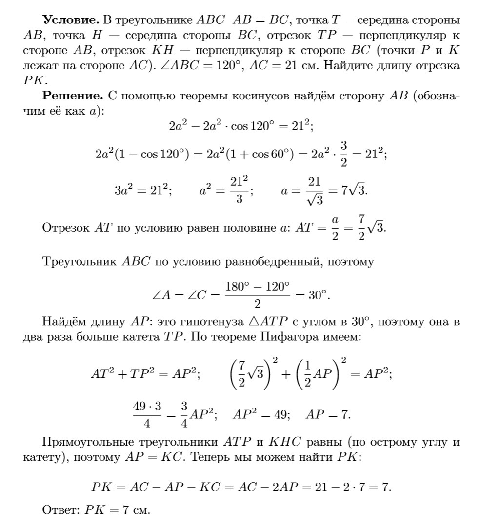
в треугольнике ABC AB=BC, точка Т - середина стороны AB, точка Н-середина стороны ВС, отрезок ТР перпендикуляр к стороне АВ, отрезок КН перпендикуляр к стороне ВС (точки Р и К лежат на стороне АС). УГОЛ АВС =120, АС=21 см. найдите длину отрезка РК.

Ответы

Ответ дал: genius20
0

Решение на рисунке.

***************

Приложения:
Ответ дал: genius20
0
Я уже не могу отредактировать ответ. Опустите из точки B высоту BL на сторону AC, она разделит AC пополам и будет биссектрисой угла B (свойство равнобедренного тр-ка), в образовавшемся прямоугольном треугольнике ABL катет BL будет в два раза меньшей гипотенузы AB (как лежащий против угла в 30°), и тогда вы сможете найти AB.
Ответ дал: genius20
0
По теореме Пифагора будет AL^2+BL^2=AB^2 => (10,5)^2+(AB/2)^2=AB^2 — здесь уравнение с одним неизвестным, которое приведёт к тому же ответу, что и теорема косинусов.
Ответ дал: betsy26
0
я не проходила теорему Пифагора
Ответ дал: CALLIA0909
0
Какой это класс?
Ответ дал: betsy26
0
7 класс
Вас заинтересует