• Предмет: Математика
  • Автор: ssognya
  • Вопрос задан 8 лет назад

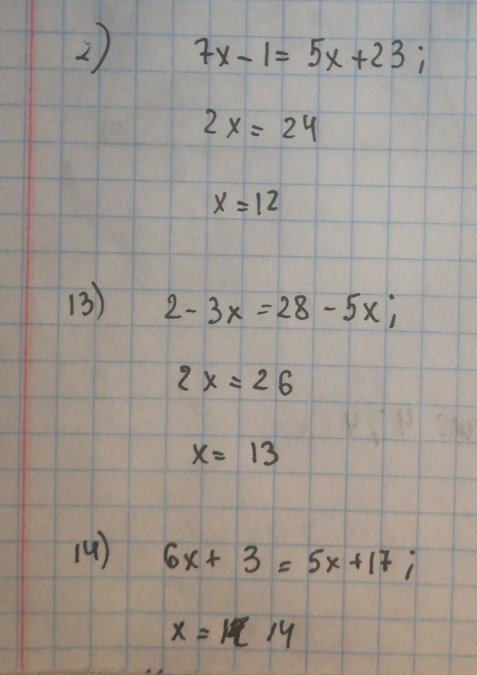
2) 7х – 1 = 5х +23
13) 2 – 3х = 28 – 5х.
14) 6х + 3 = 5х + 17

Ответы

Ответ дал: мераб
0
Решение на фото, удачи
Приложения:
Ответ дал: Misha001192
0

2) : 7x - 1 = 5x + 23 \   7x - 5x = 23 + 1 \ 2x = 24 \  \ x =  frac{24}{2}  = 12

13) : 2 - 3x = 28 - 5x \ 5x - 3x = 28 - 2 \ 2x = 26 \  \ x =  frac{26}{2}  = 13 \

14) :  : 6x + 3 = 5x + 17 \ 6x - 5x = 17 - 3 \ x = 14 \

ПРАВИЛО!

Все числа с буквами переносим влево с противоположными знаками, а просто числа переносим вправо также с противоположными знаками
Приложения:
Вас заинтересует