• Предмет: Алгебра
  • Автор: Djasurxon
  • Вопрос задан 8 лет назад

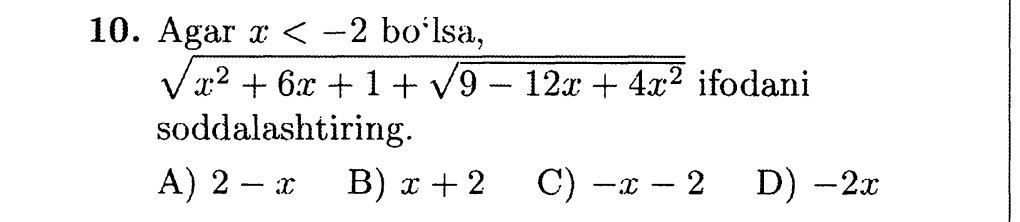
если х<-2, то упростите данное выражение!, помогите пожалуйста

Приложения:

Ответы

Ответ дал: Misha001192
0

 sqrt{ {x}^{2} + 6x + 1 +  sqrt{9 - 12x + 4 {x}^{2} }  }  \

9 - 12x + 4 {x}^{2}  =  {(3 - 2x)}^{2} \

 sqrt{ {x}^{2} + 6x + 1 +  sqrt{ {( 3 - 2x)}^{2} }  }  =  sqrt{ {x}^{2} + 6x +  1 + |3 - 2x|  }

Но по условию х < - 2 , значит , 3 - 2х > 0

 sqrt{ {x}^{2} + 6x + 1 + 3 - 2x }  =   sqrt{ {x}^{2}  + 4x + 4}  =  \  \  =  sqrt{  {(x + 2)}^{2}  }  =  |x + 2|  =  - (x + 2) =  - x - 2 \



ОТВЕТ: С
Вас заинтересует