Ответы
Ответ дал:
0
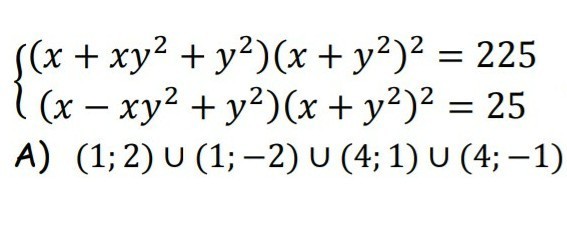
Решение во вложении.
Решали с помощью замены.
Решали с помощью замены.
Приложения:


Вас заинтересует
2 года назад
2 года назад
3 года назад
3 года назад
9 лет назад
9 лет назад
9 лет назад