• Предмет: Математика
  • Автор: Yuliyyy
  • Вопрос задан 8 лет назад

Только полные решения!!! Срочно!

Приложения:

Ответы

Ответ дал: snow99
0

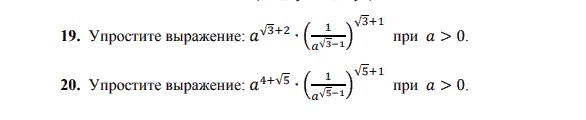
19) :  :  {a}^{ sqrt{3} + 2 }  times  {( frac{1}{ {a}^{ sqrt{3} - 1 } } )}^{ sqrt{3} + 1 }  =  {a}^{ sqrt{3} + 2 }  times  {( {a}^{ - (sqrt{3}  - 1)}) }^{ sqrt{3}  + 1} =   {a}^{ sqrt{3}  + 2}  times  {( {a}^{1 -  sqrt{3} } )}^{ sqrt{3}  + 1}  =  {a}^{ sqrt{3} +  2}  times  {a}^{(1 -  sqrt{3} )(1 +  sqrt{3}) }  =  {a}^{ sqrt{3}  + 2}  times  {a}^{1 - 3}  =  {a}^{ sqrt{3}  + 2}  times  {a}^{ - 2}  =  {a}^{ sqrt{3}  + 2 - 2}  =  {a}^{ sqrt{3} }
20) :  :  { a }^{4 +   sqrt{5}  }  times  {( frac{1}{ {a}^{ sqrt{5} - 1 } } )}^{ sqrt{5} + 1 }  =  {a}^{4 +  sqrt{5} }  times  {( {a}^{ - ( sqrt{5}  - 1)}) }^{ sqrt{5}  + 1}  =  {a}^{4 +  sqrt{5} }  times  {a}^{(1 -  sqrt{5})(1 +  sqrt{5}  )}  =  {a}^{4 +  sqrt{5} }  times  {a}^{1 - 5}  =  {a}^{4 +  sqrt{5} }  times  {a}^{ - 4}  =  {a}^{4 +  sqrt{5}  - 4}  =  {a}^{ sqrt{5} }
Вас заинтересует