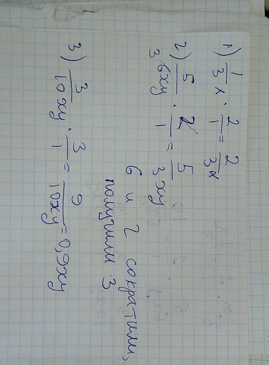
Приведите к общему знаменателю дроби:1/3x*2;5/6xy*2;3/10xy*3.
Можно пожалуйста с объяснением.Чтобы дальше делать!По желанию расписать алгоритм!
Ответы
Ответ дал:
0
при умножении не надо приводить к общему знаменателю ,надо просто умножать,а если есть сокращения,то сократить
Приложения:

Ответ дал:
0
Там не умножить на два, а степень!
Вас заинтересует
2 года назад
3 года назад
3 года назад
9 лет назад
9 лет назад
9 лет назад