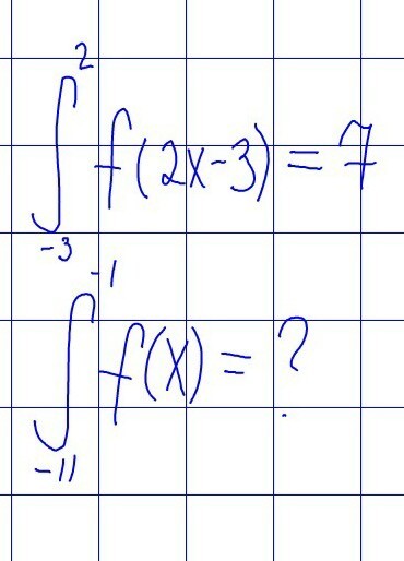
Как решить подобную задачку? Числа записаны не точно, ибо записал напамять что вспомнил с экзамена. Если нерешаемая, то составить аналогичную задачу и решить.
Приложения:

Ответы
Ответ дал:
0
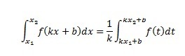
нужно воспользоваться элементарными преобразованиями. Но там пределы у вас вроде бы стоят неверные (не получится так решить), но другого способа и нет.
Приложения:

Вас заинтересует
2 года назад
2 года назад
3 года назад
3 года назад
9 лет назад
9 лет назад