• Предмет: Математика
  • Автор: thijs
  • Вопрос задан 8 лет назад

помогите решить все задания ( с объяснением)

Приложения:

Ответы

Ответ дал: Света19999
0
Смотрите ответ на фотографии
Приложения:
Ответ дал: sangers
0

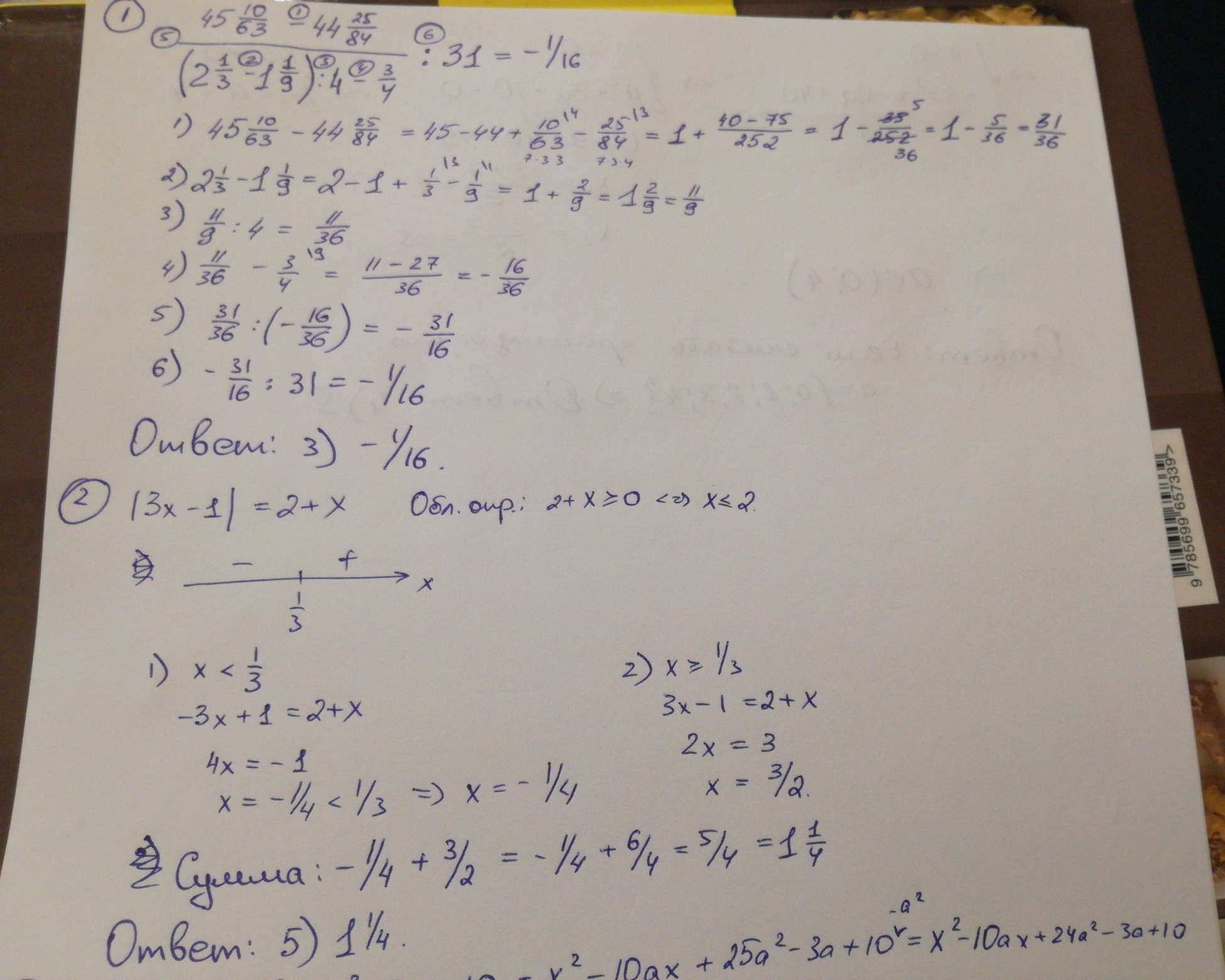
10.

1) 45¹⁰/₆₃-44²⁵/₈₄=2845/63-3721/84=(2845*4-3721*3)/252=(11380-11163)/252=

=217/252=31/36.

2) 2¹/₃-1¹/₉=7/3-10/9=(7*3-10)/9=(21-10)/9=11/9.

3) 11/9:4=11/36.

4) 11/36-3/4=(11-3*9)/4=(11-27)/36=-16/36=-4/9.

5) (31/36):(-4/9)=31*9/(36*(-4))=-31/16.

6) -31/16:31=-1/16.

Ответ: 3).

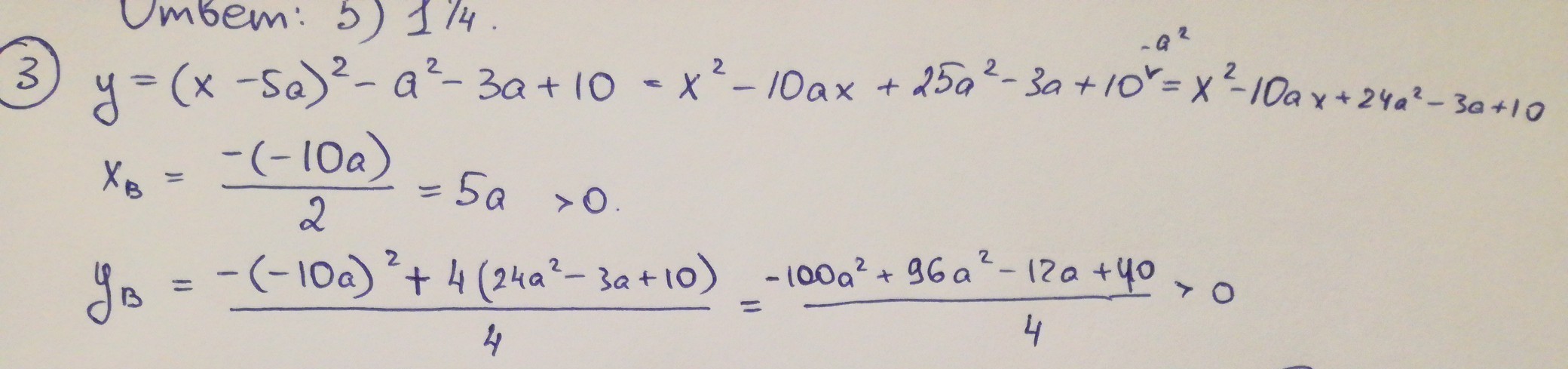
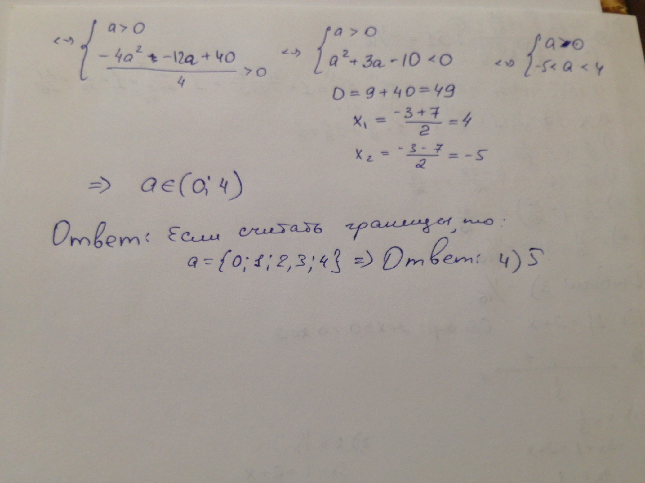
11.

|3x-1|=2+x

Раскрываем модуль и получаем систему уравнений:

3x-1=2+x 2x=3 |÷2 x₁=1,5

-(3x-1)=2+x -3x+1=2+x 4x=-1 |÷4 x₂=-0,25.

x₁+x₂=1,5+(-0,25)=1,25=1¹/₄=5/4.

Ответ: 2).

Приложения:
Вас заинтересует