• Предмет: Алгебра
  • Автор: Lanosha
  • Вопрос задан 8 лет назад

Сократите дробь, разложив предварительно её числитель и знаменатель на множители:

Приложения:

Ответы

Ответ дал: Света19999
0
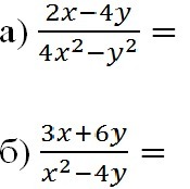
Возможно ошибка в коэффициентах в числителе пункта а в условии задачи

Смотрите ответ на фотографии
Приложения:
Вас заинтересует