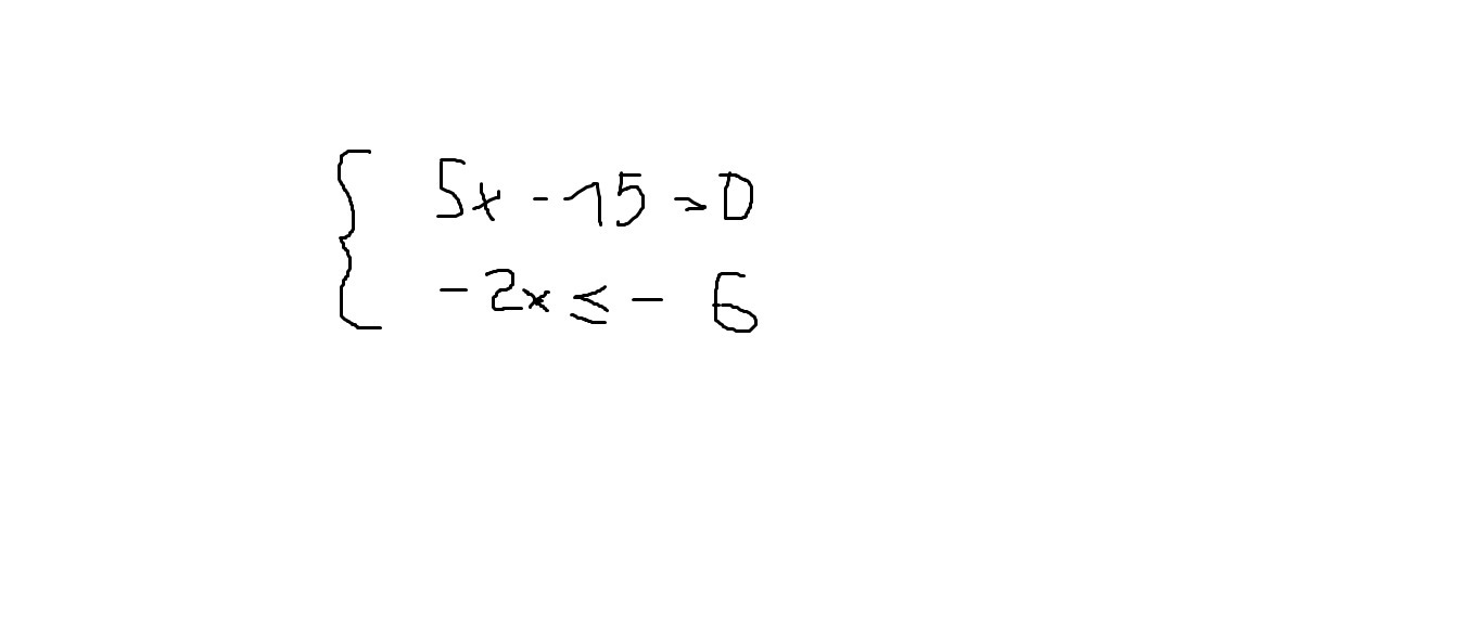
Решите систему неравенств(с промежутками и коородинатной прямой)
Желательно на листочке.
Заранее спасибо)
Приложения:

Ответы
Ответ дал:
0
=> х > 3.
Ответ: (3; +бесконечность)
Вас заинтересует
2 года назад
9 лет назад
9 лет назад
9 лет назад